欢迎光临:莱耀标准品网!
 您的位置:对照品 > 对照品 > 国家对照品 >
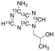
9-(2-Hydroxypropyl)adenine-13C5
产品基本信息
产品编号:H952012
产品名称:9-(2-Hydroxypropyl)adenine-13C5
产品CAS:
规格含量:1mg
产品价格:面议
联系我们:
产品详细介绍
标准品编号: H952012
名称: 9-(2-Hydroxypropyl)adenine-13C5
别名: 6-Amino-α-methyl-9H-purine-9-ethanol-13C5; (RS)-9-(2-Hydroxypropyl)adenine-13C5; 9-(2-Hydroxyprop-1-yl)adenine-13C5; DL-9-(2-Hydroxypropyl)adenine13C5; DL-6-amino-α-methyl-9H-Purine-9-ethanol-13C5; (±)-6-amino-α-methyl-9H-Purine-9-ethanol-13C5;
参考CAS号: 14047-26-8
分子式: C₃¹³C₅H₁₁N₅O
分子量: 198.17
种类: Standards; Isotopic Labeled Analogues; Pharmaceutical/API Drug Impurities/Metabolites;
应用: 9-(2-Hydroxypropyl)adenine-13C5 is an intermediate used in the synthesis of rac Tenofovir-13C5 (>90%) (T018501), which is he isotope labelled analog of Tenofovir (T018500); an acyclic phosphonate nucleotide analogue and reverse transcriptase inhibitor. Also used as an anti-HIV agent and antiviral.
参考文献


2011-2018 信阳莱耀生物科技有限公司 @ 信阳埃尔文生物科技有限公司版权所有

中检所标准品,对照品,标准气体
Keywords: 中检所标准品 对照品 标准气体