您的位置:对照品 > 对照品 > 国家对照品 > |
|
|
|
| 产品基本信息 |
|
| 产品编号:G450000 |
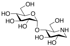
| 产品名称:4-O-α-D-Glucopyranosylmoranoline |
| 产品CAS:80312-32-9 |
| 规格含量:10mg |
| 产品价格:面议 |
| 联系我们: |
|
|
|
|
|
| 产品详细介绍 |
| 标准品编号: |
G450000 |
| 名称: |
4-O-α-D-Glucopyranosylmoranoline |
| 别名: |
(2R,3R,4R,5S)-4,5-Dihydroxy-2-(hydroxymethyl)-3-piperidinyl α-D-Glucopyranoside; G1M |
| CAS号: |
80312-32-9 |
| 分子式: |
C₁₂H₂₃NO₉ |
| 外观: |
白色至白色固体 |
| 熔点: |
189-192°C |
| 分子量: |
325.31 |
| 储存: |
Hygroscopic, -20°C Freezer, Under Inert Atmosphere |
| 溶解度: |
Methanol (Slightly), Water (Slightly) |
| 种类: |
Standards; Enzyme Activators and Inhibitors; Glycosidase Inhibitors; |
| 应用: |
An α-glucosidase inhibitor. May also prove to be an effective oral anti-diabetic agent. |
| 参考文献 |
|
|
|
|
|
|