欢迎光临:莱耀标准品网!
 您的位置:对照品 > 对照品 > 国家对照品 >
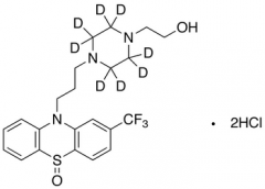
Fluphenazine-d8 Sulfoxide Dihydrochloride
产品基本信息
产品编号:F598417
产品名称:Fluphenazine-d8 Sulfoxide Dihydrochloride
产品CAS:1287047-37-3
规格含量:10mg
产品价格:面议
联系我们:
产品详细介绍
标准品编号: F598417
名称: Fluphenazine-d8 Sulfoxide Dihydrochloride
别名: 4-[3-[5-Oxido-2-(trifluoromethyl)-10H-phenothiazin-10-yl]propyl]-1-piperazineethanol-d8 Hydrochloride; 4-[3-[2-(Trifluoromethyl)phenothiazin-10-yl]propyl]-1 -piperazineethanol-d8 5-Oxide Dihydrochloride;
CAS号: 1287047-37-3
参考CAS: 类似: 32224-60-5
分子式: C₂₂H₂₀D₈Cl₂F₃N₃O₂S
分子量: 534.49
种类: Standards; Isotopic Labeled Analogues; Pharmaceutical/API Drug Impurities/Metabolites;
应用: A labelled Phenothiazine derivative as indicator in vanadometry.
危险品: Not a dangerous good if item is equal to or less than 1g/ml and there is less than 100g/ml in the package
参考文献


2011-2018 信阳莱耀生物科技有限公司 @ 信阳埃尔文生物科技有限公司版权所有

中检所标准品,对照品,标准气体
Keywords: 中检所标准品 对照品 标准气体