欢迎光临:莱耀标准品网!
 您的位置:对照品 > 对照品 > 国家对照品 >
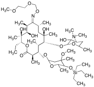
Erythromycin 4''-O-TES 10-Imino-N-(2-Methoxyethoxy)methanol
产品基本信息
产品编号:E650070
产品名称:Erythromycin 4''-O-TES 10-Imino-N-(2-Methoxyethoxy)methanol
产品CAS:
规格含量:2.5mg
产品价格:面议
联系我们:
产品详细介绍
标准品编号: E650070
名称: Erythromycin 4''-O-TES 10-Imino-N-(2-Methoxyethoxy)methanol
别名: (3R,4S,5S,6R,7R,9R,11S,12R,13S,14R,E)-6-(((3R,4S)-4-(Dimethylamino)-3-hydroxy-6-methyltetrahydro-2H-pyran-2-yl)oxy)-14-ethyl-7,12,13-trihydroxy-4-(((2R,4R,5S,6S)-4-methoxy-4,6-dimethyl-5-((triethylsilyl)oxy)tetrahydro-2H-pyran-2-yl)oxy)-10-(((2-methoxyethoxy)methoxy)imino)-3,5,7,9,11,13-hexamethyloxacyclotetradecan-2-one;
分子式: C₄₇H₉₀N₂O₁₅Si
外观: 淡黄色固体
分子量: 951.31
溶解度: DCM, Ethyl Acetate
种类: Standards; Chiral Molecules; Pharmaceutical/API Drug Impurities/Metabolites;
应用: Erythromycin 3'-O-Benzyl Formate Ester 3''-O-TES N-Hydroxyl is an intermediate in synthesizing 2'-O-[(2-Methoxyethoxy)methyl] Roxithromycin (M262515), which is a Roxithromycin (R700850) impurity and structurally related substance in bulk samples.
参考文献


2011-2018 信阳莱耀生物科技有限公司 @ 信阳埃尔文生物科技有限公司版权所有

中检所标准品,对照品,标准气体
Keywords: 中检所标准品 对照品 标准气体