您的位置:对照品 > 对照品 > 国家对照品 > |
|
|
|
| 产品基本信息 |
|
| 产品编号:D486840 |
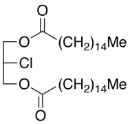
| 产品名称:1,3-Dipalmitoyl-2-chloropropanediol |
| 产品CAS:169471-41-4 |
| 规格含量:250mg |
| 产品价格:面议 |
| 联系我们: |
|
|
|
|
|
| 产品详细介绍 |
| 标准品编号: |
D486840 |
| 名称: |
1,3-Dipalmitoyl-2-chloropropanediol |
| 别名: |
Hexadecanoic Acid 2-Chloro-1,3-propanediyl Ester; 1,3-Bispalmitoyl-2-chloropropanediol; PP-2-MCPD |
| CAS号: |
169471-41-4 |
| 分子式: |
C₃₅H₆₇ClO₄ |
| 外观: |
白色至白色固体 |
| 熔点: |
41 - 43°C |
| 分子量: |
587.36 |
| 储存: |
冰箱保存 |
| 溶解性: |
Chloroform (Slightly), Ethyl Acetate (Slightly), Methanol (Slightly) |
| 种类: |
Building Blocks; Pharmaceutical/API Drug Impurities/Metabolites; Lipids/Fatty Acids, Glycerol Derivatives; |
| 应用: |
1,3-Dipalmitoyl-2-chloropropanediol is used in the synthesis of some prodrugs of Piroxicam and Lornoxicam to improve their bioavailability. |
| 参考文献 |
|
|
|
|
|
|
|
|