欢迎光临:莱耀标准品网!
 您的位置:对照品 > 对照品 > 国家对照品 >
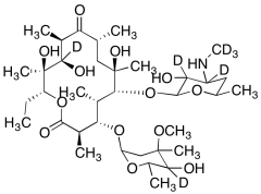
N-Demethyl Erythromycin A-d7
产品基本信息
产品编号:D230933
产品名称:N-Demethyl Erythromycin A-d7
产品CAS:
规格含量:5mg
产品价格:面议
联系我们:
产品详细介绍
标准品编号: D230933
名称: N-Demethyl Erythromycin VIP(LA)d7
别名: N-Demethyl-erythromycin-d7; Des-N-methylerythromycin-d7; Demethylerythromycin-d7; USP Clarithromycin Impurity R-d7; Erythromycin EP Impurity B-d7
参考CAS号: Unlabeled: 992-62-1
分子式: C₃₆H₅₈D₇NO₁₃
分子量: 726.94
种类: Standards; Isotopic Labeled Analogues;
应用: N-Demethyl Erythromycin VIP(LA)d7 is a labeled version of N-Demethyl Erythromycin A (D230930), which is a metabolite of Erythromycin (E649950).
参考文献


2011-2018 信阳莱耀生物科技有限公司 @ 信阳埃尔文生物科技有限公司版权所有

中检所标准品,对照品,标准气体
Keywords: 中检所标准品 对照品 标准气体