您的位置:对照品 > 对照品 > Fermentek > |
|
|
|
| 产品基本信息 |
|
| 产品编号:C46H78O19 |
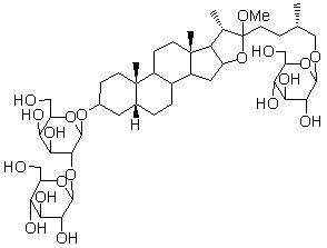
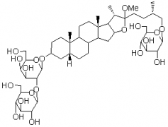
| 产品名称:知母皂苷E(知母皂苷BI)对照品 |
| 产品CAS:136565-73-6 |
| 规格含量:10mg |
| 产品价格:1500 |
| 联系我们: |
|
|
|
|
|
| 产品详细介绍 |
|
中文名称 |
知母皂苷E对照品 |
中文别名 |
知母皂苷BI |
|
英文名 |
Anemarsaponin E |
英文别名 |
补充中 |
|
分子式 |
|
C46H78O19 |
分子量 |
935.10 |
CAS登录号 |
136565-73-6 |
|
|
提取来源 |
|
|
外观 |
|
白色无定形粉末 |
 |
|
NMR; MS |
|
4℃冷藏、密封、避光 |
|
2年 |
|
无 |
|
|
鉴别方法 |
|
贮存条件 |
|
有效期 |
|
注意事项 |
|
溶解性 |
补充中 |
|
测定方法 |
Agilent zorbax SBC18柱(4.6mm×150mm,5m)上,以含0.05%甲酸的乙腈/水为流动相进行洗脱,采用电喷雾电离在负离子模式下以选择离子监测模式(SIM)检测,外标法定量。 |
|
药典测定方法 |
补充中 |
|
用途 |
用于含量测定/鉴定/药理实验等 |
|
|
|
|
|