您的位置:对照品 > 对照品 > ChromaDex > |
|
|
|
| 产品基本信息 |
|
| 产品编号:C53H86O22 |
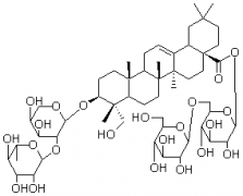
| 产品名称:川续断皂苷乙(川续断皂苷B)对照品 |
| 产品CAS:33289-85-9 |
| 规格含量:20mg |
| 产品价格:860 |
| 联系我们: |
|
|
|
|
|
| 产品详细介绍 |
|
中文名称 |
川续断皂苷乙对照品 |
中文别名 |
川续断皂苷B |
|
英文名 |
Dipsacoside B |
英文别名 |
补充中 |
|
分子式 |
|
C53H86O22 |
分子量 |
1074.56 |
CAS登录号 |
33289-85-9 |
|
|
提取来源 |
|
冬科植物山银花Lonicara confusa DC.干燥花蕾及带初开放的花朵 |
化学结构 |
|
|
外观 |
|
灰黄色结晶 |
 |
|
NMR; MS |
|
4℃冷藏、密封、避光 |
|
2年 |
|
无 |
|
|
鉴别方法 |
|
贮存条件 |
|
有效期 |
|
注意事项 |
|
溶解性 |
补充中 |
|
测定方法 |
HPLC法,以Phenomenex Luna C18(250 mm×4.6 mm,5μm)色谱柱,流动相0.4%醋酸(A)-乙腈(B),梯度洗脱(0~12 min,80%A;12~13min,80%A→67%A;13~30 min,67%A→65%A;30~35 min,65%A→80%A),流速0.5 mL.min-1;UV检测:检测绿原酸,λ=326nm。 |
|
药典测定方法 |
补充中 |
|
用途 |
用于含量测定/鉴定/药理实验等 |
|
|
|
|
|