欢迎光临:莱耀标准品网!
 您的位置:对照品 > 标准品 > 美国药典 >
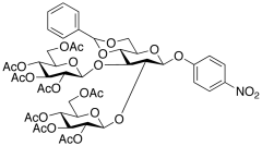
4-Nitrophenyl 4,6-Benzylidene-2,3-di-O-(2,3,4,6-tetra-O-acetyl-β-D-glucopyranosyl
产品基本信息
产品编号:N503052
产品名称:4-Nitrophenyl 4,6-Benzylidene-2,3-di-O-(2,3,4,6-tetra-O-acetyl-β-D-glucopyranosyl
产品CAS:
规格含量:25mg
产品价格:面议
联系我们:
产品详细介绍
标准品编号: N503052
名称: 4-Nitrophenyl 4,6-Benzylidene-2,3-di-O-(2,3,4,6-tetra-O-acetyl-β-D-glucopyranosyl)-β-D-glucopyranoside
分子式: C₄₇H₅₅NO₂₆
外观: 白色固体
分子量: 1049.93
溶解度: Water
种类: Standards; Carbohydrates and Oligosaccharides;
应用: 4-Nitrophenyl 4,6-Benzylidene-2,3-di-O-(2,3,4,6-tetra-O-acetyl-β-D-glucopyranosyl)-β-D-glucopyranoside is a compound useful in organic synthesis.
参考文献


2011-2018 信阳莱耀生物科技有限公司 @ 信阳埃尔文生物科技有限公司版权所有

中检所标准品,对照品,标准气体
Keywords: 中检所标准品 对照品 标准气体