欢迎光临:莱耀标准品网!
 您的位置:对照品 > 标准品 > 美国药典 >
Morroniside
产品基本信息
产品编号:M725700
产品名称:Morroniside
产品CAS:25406-64-8
规格含量:25mg
产品价格:面议
联系我们:
产品详细介绍
标准品编号: M725700
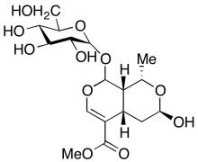
名称: Morroniside
别名: [1S-(1α,3β,4aβ,8β,8aβ)]-8-(β-D-Glucopyranosyloxy)-4,4a,8,8a-tetrahydro-3-hydroxy-1-methyl-1H,3H-Pyrano[3,4-c]pyran-5-carboxylic Acid Methyl Ester; Morroniside; (7β-OH)-Morroniside; Morronisid; β-Morroniside
CAS号: 25406-64-8
分子式: C₁₇H₂₆O₁₁
外观: 白色至白色固体
熔点: 133 - 140°C
分子量: 406.38
储存: Hygroscopic, -20°C Freezer, Under inert atmosphere
溶解度: DMSO (Slightly), Methanol (Slightly)
稳定性: Hygroscopic
种类: Standards; Pharmaceutical/API Drug Impurities/Metabolites;
应用: Morroniside is a pharmaceutical agent improving microvascular functional integrity and vascular elements of the neurovascular unit in the treatment of cerebral ischemia.
参考文献


2011-2018 信阳莱耀生物科技有限公司 @ 信阳埃尔文生物科技有限公司版权所有

中检所标准品,对照品,标准气体
Keywords: 中检所标准品 对照品 标准气体