欢迎光临:莱耀标准品网!
 您的位置:对照品 > 标准品 > 美国药典 >
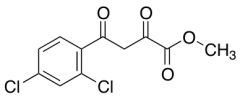
Methyl 4-(2,4-dichlorophenyl)-2,4-dioxobutanoate
产品基本信息
产品编号:M343848
产品名称:Methyl 4-(2,4-dichlorophenyl)-2,4-dioxobutanoate
产品CAS:175711-73-6
规格含量:100mg
产品价格:面议
联系我们:
产品详细介绍
标准品编号: M343848
名称: Methyl 4-(2,4-dichlorophenyl)-2,4-dioxobutanoate
CAS号: 175711-73-6
分子式: C₁₁H₈O₄Cl₂
分子量: 275.08
种类: Standards; Environmental Standards, Mutagens and Metabolites; Pesticides;
应用: methyl 4-(2,4-dichlorophenyl)-2,4-dioxobutanoate (cas# 175711-73-6) is a useful research chemical.
参考文献


2011-2018 信阳莱耀生物科技有限公司 @ 信阳埃尔文生物科技有限公司版权所有

中检所标准品,对照品,标准气体
Keywords: 中检所标准品 对照品 标准气体