欢迎光临:莱耀标准品网!
 您的位置:对照品 > 标准品 > 美国药典 >
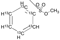
Methyl Benzenesulfonate-13C6
产品基本信息
产品编号:M288892
产品名称:Methyl Benzenesulfonate-13C6
产品CAS:
规格含量:5mg
产品价格:面议
联系我们:
产品详细介绍
标准品编号: M288892
名称: Methyl Benzenesulfonate-13C6
别名: Benzenesulfonic Acid Methyl Ester-13C6; Methyl Besylate-13C6;
参考CAS号: 80-18-2 unlabeled
分子式: C¹³C₆H₈O₃S
分子量: 178.16
种类: Standards; Isotopic Labeled Analogues; Environmental Standards, Mutagens and Metabolites;
应用: The labelled version of Methyl Benzenesulfonate (M288890) which is a potential genotoxic impurity in drug substances. It may exert genotoxic effects in bacterial and mammalian cell systems.
危险品: Not a dangerous good if item is equal to or less than 1g/ml and there is less than 100g/ml in the package
参考文献


2011-2018 信阳莱耀生物科技有限公司 @ 信阳埃尔文生物科技有限公司版权所有

中检所标准品,对照品,标准气体
Keywords: 中检所标准品 对照品 标准气体