欢迎光临:莱耀标准品网!
 您的位置:对照品 > 标准品 > 美国药典 >
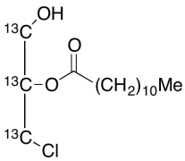
rac 2-Lauroyl-3-chloropropanediol-13C3
产品基本信息
产品编号:L184758
产品名称:rac 2-Lauroyl-3-chloropropanediol-13C3
产品CAS:
规格含量:5mg
产品价格:面议
联系我们:
产品详细介绍
标准品编号: L184758
名称: rac 2-Lauroyl-3-chloropropanediol-13C3
别名: Dodecanoic Acid 3-Chloro-1-hydroxypropyl Ester-13C3; Lauric Acid 3-Chloro-1-hydroxy-propyl Ester-13C3; 3-Chloro-1-hydroxypropyl Laurate-13C3; Dodecanoic Acid 2-Chloro-1-(hydroxymethyl)ethyl Ester-13C3;
参考CAS号: 1329647-11-1
分子式: C₁₂¹³C₃H₂₉ClO₃
分子量: 295.82
种类: Standards; Isotopic Labeled Analogues; Lipids/Fatty Acids, Glycerol Derivatives; Environmental Standards, Mutagens and Metabolites;
应用: rac 2-Lauroyl-3-chloropropanediol-13C3 is an isotope labelled version of rac 2-Lauroyl-3-chloropropanediol.
参考文献


2011-2018 信阳莱耀生物科技有限公司 @ 信阳埃尔文生物科技有限公司版权所有

中检所标准品,对照品,标准气体
Keywords: 中检所标准品 对照品 标准气体