您的位置:对照品 > 标准品 > 美国药典 > |
|
|
|
| 产品基本信息 |
|
| 产品编号:K137523 |
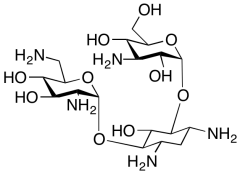
| 产品名称:Kanamycin B |
| 产品CAS:4696-76-8 |
| 规格含量:500mg |
| 产品价格:面议 |
| 联系我们: |
|
|
|
|
|
| 产品详细介绍 |
| 标准品编号: |
K137523 |
| 名称: |
Kanamycin B |
| 别名: |
O-3-Amino-3-deoxy-α-D-glucopyranosyl-(1→6)-O-[2,6-diamino-2,6-dideoxy-α-D-glucopyranosyl-(1→4)]-2-deoxy-D-streptamine; 2'-Amino-2'-deoxykanamycin; Aminodeoxykanamycin; Beckanamycin; Bekanamycin; KDM; Kanendomycin; NK 1006; Nebramycin V; Nebramycin Factor 5; |
| CAS号: |
4696-76-8 |
| 分子式: |
C₁₈H₃₇N₅O₁₀ |
| 外观: |
白色固体 |
| 熔点: |
>175ºC (dec.) |
| 分子量: |
483.51 |
| 储存: |
Hygroscopic, -20°C Freezer, Under inert atmosphere |
| 溶解度: |
Methanol (Slightly, Heated), Water (Slightly) |
| 种类: |
Standards; Pharmaceutical/API Drug Impurities/Metabolites; |
| 应用: |
Kanamycin B (cas# 4696-76-8) is a compound useful in organic synthesis. |
| 参考文献 |
|
|
|
|
|
|
|
|