您的位置:对照品 > 标准品 > 美国药典 > |
|
|
|
| 产品基本信息 |
|
| 产品编号:I120002 |
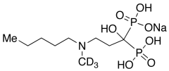
| 产品名称:Ibandronic Acid-d3 Sodium Salt |
| 产品CAS:1329834-28-7 |
| 规格含量:25mg |
| 产品价格:面议 |
| 联系我们: |
|
|
|
|
|
| 产品详细介绍 |
| 标准品编号: |
I120002 |
| 名称: |
Ibandronic Acid-d3 Sodium Salt |
| 别名: |
[1-Hydroxy-3-(methyl-d3-pentylamino)propylidene]bisphosphnic Acid Sodium Salt; |
| CAS号: |
1329834-28-7 |
| 参考CAS号: |
类似: 138844-81-2 |
| 分子式: |
C₉H₁₉D₃NNaO₇P₂ |
| 外观: |
白色固体 |
| 熔点: |
>208°C (dec.) |
| 分子量: |
344.23 |
| 储存: |
Hygroscopic, -20°C Freezer, Under Inert Atmosphere |
| 溶解度: |
Aqueous Base (Slightly) |
| 种类: |
Standards; Isotopic Labeled Analogues; Enzyme Activators and Inhibitors; Pharmaceutical/API Drug Impurities/Metabolites; |
| 应用: |
A labelled biphosphonate bone resorption inhibitor. |
| 参考文献 |
|
|
|
|
|
|
|
|