欢迎光临:莱耀标准品网!
 您的位置:对照品 > 标准品 > 美国药典 >
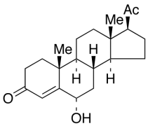
6α-Hydroxy Progesterone
产品基本信息
产品编号:H952240
产品名称:6α-Hydroxy Progesterone
产品CAS:604-20-6
规格含量:10mg
产品价格:面议
联系我们:
产品详细介绍
标准品编号: H952240
名称: 6α-Hydroxy Progesterone
别名: (6α)-6-Hydroxypregn-4-ene-3,20-dione; 6α-Hydroxypregn-4-ene-3,20-dione; 6α-Hydroxyprogesterone;
CAS号: 604-20-6
分子式: C₂₁H₃₀O₃
分子量: 330.46
种类: Standards; Pharmaceutical/API Drug Impurities/Metabolites; Steroids;
应用: 6α-Hydroxy Progesterone is a metabolite of Progesterone (P755900).
参考文献


2011-2018 信阳莱耀生物科技有限公司 @ 信阳埃尔文生物科技有限公司版权所有

中检所标准品,对照品,标准气体
Keywords: 中检所标准品 对照品 标准气体