您的位置:对照品 > 标准品 > 美国药典 > |
|
|
|
| 产品基本信息 |
|
| 产品编号:H950775 |
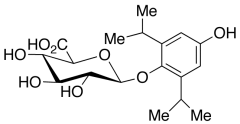
| 产品名称:4-Hydroxy Propofol 1-O-β-D-Glucuronide |
| 产品CAS:114991-25-2 |
| 规格含量:2mg |
| 产品价格:面议 |
| 联系我们: |
|
|
|
|
|
| 产品详细介绍 |
| 标准品编号: |
H950775 |
| 名称: |
4-Hydroxy Propofol 1-O-β-D-Glucuronide |
| 别名: |
4-Hydroxy-2,6-bis(1-methylethyl)phenol β-D-Glucopyranosiduronic Acid; |
| CAS号: |
114991-25-2 |
| 分子式: |
C₁₈H₂₆O₈ |
| 外观: |
白色固体 |
| 熔点: |
197-200°C (dec.) |
| 分子量: |
370.39 |
| 储存: |
-20°C Freezer |
| 溶解度: |
DMSO, Methanol |
| 种类: |
Standards; Pharmaceutical/API Drug Impurities/Metabolites; |
| 应用: |
A metabolite of Propofol. Anesthetic (intravenous). |
| 参考文献 |
|
|
|
|
|
|
|
|