您的位置:对照品 > 标准品 > 美国药典 > |
|
|
|
| 产品基本信息 |
|
| 产品编号:D476517 |
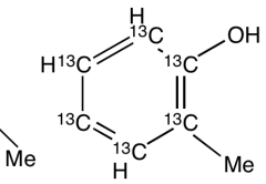
| 产品名称:2,4-Dimethylphenol-13C6 |
| 产品CAS: |
| 规格含量:2.5mg |
| 产品价格:面议 |
| 联系我们: |
|
|
|
|
|
| 产品详细介绍 |
| 标准品编号: |
D476517 |
| 名称: |
2,4-Dimethylphenol-13C6 |
| 别名: |
1-Hydroxy-2,4-dimethylbenzene-13C6; 2,4-DMP-13C6;4,6-Dimethylphenol-13C6; 4-Hydroxy-1,3-dimethylbenzene-13C6; m-Xylenol-13C6 |
| 参考CAS号: |
105-67-9 |
| 分子式: |
C₂¹³C₆H₁₀O |
| 外观: |
Oil |
| 分子量: |
128.12 |
| 溶解性: |
Chloroform; Dichloromethane |
| 种类: |
Building Blocks; Isotopic Labeled Analogues; Miscellaneous; |
| 应用: |
2,4-Dimethylphenol-13C6 is an intermediate in the synthesis of 1,2,4-Trimethyl 13C6-benzene (T796173), a labelled aromatic standard. |
| 参考文献 |
|
|
|
|
|
|