欢迎光临:莱耀标准品网!
 您的位置:对照品 > 标准品 > 美国药典 >
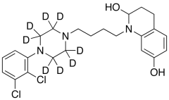
1-[4-[4-(2,3-Dichlorophenyl)piperazin-1-yl]butyl]-7-hydroxy-1,2,3,4-tetrahydro-carbostyri
产品基本信息
产品编号:D435562
产品名称:1-[4-[4-(2,3-Dichlorophenyl)piperazin-1-yl]butyl]-7-hydroxy-1,2,3,4-tetrahydro- carbostyri
产品CAS:1794789-13-1
规格含量:10mg
产品价格:面议
联系我们:
产品详细介绍
标准品编号: D435562
名称: 1-[4-[4-(2,3-Dichlorophenyl)piperazin-1-yl]butyl]-7-hydroxy-1,2,3,4-tetrahydro- carbostyril-d8
CAS号: 1794789-13-1
参考CAS号: 未标记:1391054-74-2
分子式: C₂₃H₂₁D₈Cl₂N₃O₂
分子量: 458.45
种类: Building Blocks; Isotopic Labeled Analogues;
应用: 1-[4-[4-(2,3-Dichlorophenyl)piperazin-1-ylbutyl]-7-hydroxy-3,4-dihydrocarbostyril-d8 is a labelled impurity of Aripiprazole (A771000).
参考文献


2011-2018 信阳莱耀生物科技有限公司 @ 信阳埃尔文生物科技有限公司版权所有

中检所标准品,对照品,标准气体
Keywords: 中检所标准品 对照品 标准气体