欢迎光临:莱耀标准品网!
 您的位置:对照品 > 标准品 > 美国药典 >
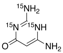
2,4-Diamino-6-hydroxypyrimidine-15N3
产品基本信息
产品编号:D416354
产品名称:2,4-Diamino-6-hydroxypyrimidine-15N3
产品CAS:1638736-04-5
规格含量:25mg
产品价格:面议
联系我们:
产品详细介绍
标准品编号: D416354
名称: 2,4-Diamino-6-hydroxypyrimidine-15N3
别名: 2,6-Diamino-4(1H)-pyrimidinone-15N3; 2,6-Diaminopyrimidin-4-one-15N3; 6-Aminoisocytosine-15N3; NSC 44914-15N3; NSC 680818-15N3; NSC 9302-15N3;
CAS号: 1638736-04-5
参考CAS号: 未标记:56-06-4
分子式: C₄H₆N¹⁵N₃O
分子量: 129.1
种类: Building Blocks; Isotopic Labeled Analogues;
应用: 2,4-Diamino-6-hydroxypyrimidine-15N3 (cas# 1638736-04-5) is a compound useful in organic synthesis.
参考文献


2011-2018 信阳莱耀生物科技有限公司 @ 信阳埃尔文生物科技有限公司版权所有

中检所标准品,对照品,标准气体
Keywords: 中检所标准品 对照品 标准气体