欢迎光临:莱耀标准品网!
 您的位置:对照品 > 标准品 > TRC >
Amoxycilloic Acid Sodium Salt
产品基本信息
产品编号:A634325
产品名称:Amoxycilloic Acid Sodium Salt
产品CAS:
规格含量:5mg
产品价格:2700元
联系我们:
产品详细介绍

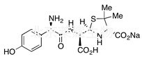
  Amoxycilloic Acid Sodium Salt

  货号:A634325
  英文名称:Amoxycilloic Acid Sodium Salt
  别名:(2R-trans)-D-2-(4-Carboxy-5,5-dimethyl-2-thiazolidinyl)-N-[D-2-(4-hydroxyphenyl)glycyl]glycine Sodium Salt; Amoxycilloic Acid Sodium Salt
  规格:5mg
  结构图:
阿莫西林磺酸钠
  分子式:C₁₆H₂₀N₃NaO₆S
  分子量:405.4
  产品类别:标准对照品,北京莱耀生物提供
  注:产品名称以英文名称为准


2011-2018 信阳莱耀生物科技有限公司 @ 信阳埃尔文生物科技有限公司版权所有

中检所标准品,对照品,标准气体
Keywords: 中检所标准品 对照品 标准气体