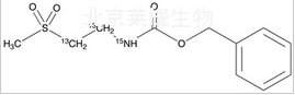
[2-(Methylsulfonyl)ethyl]carbamic Acid-13C2,15N Benzyl Ester标准品
货号:M326232
英文名称: [2-(Methylsulfonyl)ethyl]carbamic Acid-13C2,15N Benzyl Ester
别名: [2-(Methylsulfonyl)ethyl]carbamic Acid-13C2,15N Phenylmethyl Ester;
规格:1mg,10mg
结构式:

CAS号:1215476-69-9
分子式:C913C2H1515NO4S
分子量:260.28
产品类别:莱耀生物标准品,北京莱耀生物提供
注:产品名称以英文名称为准
|