欢迎光临:莱耀标准品网!
 您的位置:对照品 > 标准品 > TRC >
甲氯噻嗪-13C6标准品
产品基本信息
产品编号:M260157
产品名称:甲氯噻嗪-13C6标准品
产品CAS:
规格含量:1mg,10mg
产品价格:3500元,28000元
联系我们:
产品详细介绍

  甲氯噻嗪-13C6标准品

  货号:M260157
  英文名称:Methyclothiazide-13C6
  别名:6-Chloro-3-(chloromethyl)-3,4-dihydro-2-methyl-2H-1,2,4-benzo-13C6-thiadiazine-7-sulfonamide 1,1-Dioxide; 6-Chloro-3-chloromethyl-2-methyl-7-sulfamyl-3,4-dihydro-1,2,4-benzo-13C6-thiadiazine 1,1-Dioxide; 6-Chloro-3-chloromethyl-3,4-dihydro-2-methyl-7-sulfamoyl-2H-1,2,4-benzo-13C6-thiadiazine 1,1-Dioxide; Aquatensen-13C6; Ciba 7272-Su-13C6; Duretic-13C6; Enduron-13C6; Enduronum-13C6; Eutron-13C6; Methyclothiazid-13C6; Methyclothiazide-13C6; Methycyclothiazide-13C6; Methylcyclothiazide-13C6; NSC 1
  规格:1mg,10mg
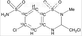
  结构式:
甲氯噻嗪-13C6标准品
  分子式:C313C6H11Cl2N3O4S2
  分子量:366.19
  产品类别:莱耀生物标准品,北京莱耀生物提供
  注:产品名称以英文名称为准
点击查看产品价格


2011-2018 信阳莱耀生物科技有限公司 @ 信阳埃尔文生物科技有限公司版权所有

中检所标准品,对照品,标准气体
Keywords: 中检所标准品 对照品 标准气体