欢迎光临:莱耀标准品网!
 您的位置:对照品 > 标准品 > TRC >
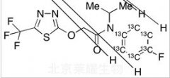
氟噻草胺-13C6标准品
产品基本信息
产品编号:F599422
产品名称:氟噻草胺-13C6标准品
产品CAS:
规格含量:10mg,25mg
产品价格:14W,17W
联系我们:
产品详细介绍

  氟噻草胺-13C6标准品

  货号:F599422
  英文名称:Flufenacet-13C6
  别名: Fluthiamid-13C6; Fluthiamide-13C6; Thiafluamide-13C6; BAY-FOE 5043-13C6; Define DF-13C6; FOE 5043-13C6; N-(4-Fluorophenyl)-N-(1-methylethyl)-2-[[5-(trifluoromethyl)-1,3,4-thiadiazol-2-yl]oxy]acetamide-13C6;
  规格:10mg,25mg
  结构式:
氟噻草胺-13C6标准品
  分子式:C813C6H13F4N3O2S
  分子量:369.29
  产品类别:莱耀生物标准品,北京莱耀生物提供
  注:产品名称以英文名称为准


2011-2018 信阳莱耀生物科技有限公司 @ 信阳埃尔文生物科技有限公司版权所有

中检所标准品,对照品,标准气体
Keywords: 中检所标准品 对照品 标准气体