欢迎光临:莱耀标准品网!
 您的位置:对照品 > 标准品 > TRC >
盐酸曲马唑嗪-d8标准品
产品基本信息
产品编号:T795517
产品名称:盐酸曲马唑嗪-d8标准品
产品CAS:
规格含量:1mg,10mg
产品价格:3100元,25000元
联系我们:
产品详细介绍

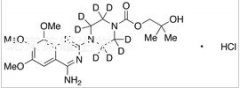
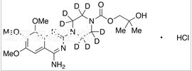
  盐酸曲马唑嗪-d8标准品

  货号:T795517
  英文名称:Trimazosin-d8 Hydrochloride
  别名:4-(4-Amino-6,7,8-trimethoxy-2-quinazolinyl)-1-(piperazine-d8)carboxylic Acid 2-Hydroxy-2-methylpropyl Ester Hydrochloride;
  规格:1mg,10mg
  结构式:
盐酸曲马唑嗪-d8标准品
  分子式:C20H22D8ClN5O6
  分子量:479.98
  产品类别:莱耀生物标准品,北京莱耀生物提供
  注:产品名称以英文名称为准


2011-2018 信阳莱耀生物科技有限公司 @ 信阳埃尔文生物科技有限公司版权所有

中检所标准品,对照品,标准气体
Keywords: 中检所标准品 对照品 标准气体