Nor Acetildenafil-d8标准品
货号:N660502
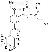
英文名称:Nor Acetildenafil-d8
别名:5-[2-Ethoxy-5-[2-(4-methyl-1-piperazinyl-d8)acetyl]phenyl]-1,6-dihydro-1-methyl-3-propyl-7H-pyrazolo[4,3-d]pyrimidin-7-one;
规格:1mg,10mg
结构式:

CAS号:1185117-07-0
分子式:C24H24D8N6O3
分子量:460.6
产品类别:莱耀生物标准品,北京莱耀生物提供
注:产品名称以英文名称为准
|