外消旋富马酸非索罗定-d14标准品
货号:F321302
英文名称:rac Fesoterodine-d14 Fumarate
别名: 2-Methylpropanoic Acid 2-[rac-3-[Bis(1-methylethyl-d7)amino]-1-phenylpropyl] -4-(hydroxymethyl)phenyl Ester (2E)-2-Butenedioate; SMP 8272-d14; SPM 907-d14;
规格:1mg,10mg
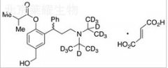
结构式:

CAS号:1185237-08-4
分子式:C30H27D14NO7
分子量:541.74
产品类别:莱耀生物标准品,北京莱耀生物提供
注:产品名称以英文名称为准
|