欢迎光临:莱耀标准品网!
 您的位置:对照品 > 标准品 > TRC >
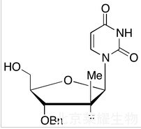
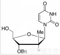
3’-O-Benzyl Sofosbuvir Desphosphate
产品基本信息
产品编号:B289670
产品名称:3’-O-Benzyl Sofosbuvir Desphosphate
产品CAS:
规格含量:25mg,250mg
产品价格:3100元,25000元
联系我们:
产品详细介绍

  3’-O-Benzyl Sofosbuvir Desphosphate标准品

  货号:B289670
  英文名称:3’-O-Benzyl Sofosbuvir Desphosphate
  别名:1-((2R,3R,4R,5R)-4-(Benzyloxy)-3-fluoro-5-(hydroxymethyl)-3-methyltetrahydrofuran-2-yl)pyrimidine-2,4(1H,3H)-dione
  规格:25mg,250mg
  结构式:
标准品
  分子式:C17H19FN2O5
  分子量:350.34
  产品类别:莱耀生物标准品,北京莱耀生物提供
  注:产品名称以英文名称为准


2011-2018 信阳莱耀生物科技有限公司 @ 信阳埃尔文生物科技有限公司版权所有

中检所标准品,对照品,标准气体
Keywords: 中检所标准品 对照品 标准气体