欢迎光临:莱耀标准品网!
 您的位置:对照品 > 标准品 > TRC >
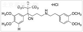
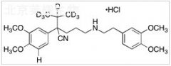
(R)-盐酸坦洛新-d4标准品
产品基本信息
产品编号:T006354
产品名称:(R)-盐酸坦洛新-d4标准品
产品CAS:
规格含量:2.5mg,25mg
产品价格:2500元,20000元
联系我们:
产品详细介绍

  (R)-盐酸坦洛新-d4标准品

  货号:T006354
  英文名称: (R)-Tamsulosin-d4 Hydrochloride
  别名:5-[(2R)-2-[[2-(-Ethoxyphenoxy)ethyl-d4]amino]propyl]-2-methoxybenzenesulfonamide Hydrochloride; Flomax-d4; Harnal-d4; Omnic-d4; Pradif-d4; YM 12617-1-d4; YM 617-d4; Yutanal-d4
  规格:2.5mg,25mg
  结构式:
(R)-盐酸坦洛新-d4标准品
  分子式:C20H25D4ClN2O5S
  分子量:449
  产品类别:莱耀生物标准品,北京莱耀生物提供
  注:产品名称以英文名称为准
点击查看产品价格


2011-2018 信阳莱耀生物科技有限公司 @ 信阳埃尔文生物科技有限公司版权所有

中检所标准品,对照品,标准气体
Keywords: 中检所标准品 对照品 标准气体