(2S)-cis-3-[[(4-Mercapto-2-pyrrolidinyl)carbonyl]amino]benzoic Acid Disulfide Dihydrochloride标准品
货号:M257090
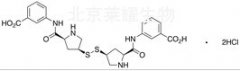
英文名称: (2S)-cis-3-[[(4-Mercapto-2-pyrrolidinyl)carbonyl]amino]benzoic Acid Disulfide Dihydrochloride
别名:3,3'-[Dithiobis[(2S,4S)-4,2-pyrrolidinediylcarbonylimino]]bisbenzoic Acid Dihydrochloride;
规格:50mg
结构式:

CAS号:444057-64-1
分子式:C24H28Cl2N4O6S2
分子量:603.54
产品类别:莱耀生物标准品,北京莱耀生物提供
注:产品名称以英文名称为准
|