欢迎光临:莱耀标准品网!
 您的位置:对照品 > 标准品 > TRC >
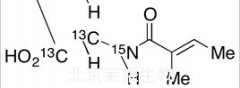
N-巴豆酰基甘氨酸-13C2,15N标准品
产品基本信息
产品编号:T440102
产品名称:N-巴豆酰基甘氨酸-13C2,15N标准品
产品CAS:
规格含量:1mg,10mg
产品价格:2700元,21000元
联系我们:
产品详细介绍

  N-巴豆酰基甘氨酸-13C2,15N标准品

  货号:T440102
  英文名称:Tiglyl Glycine-13C2,15N
  别名:N-[(2E)-2-Methyl-1-oxo-2-buten-1-yl]glycine-13C2,15N; N-Tigloylglycine-13C2,15N; N-Tiglylglycine-13C2,15N;
  规格:1mg,10mg
  结构式:
Tiglyl Glycine-13C2,15N
  分子式:C513C2H1115NO3
  分子量:160.15
  产品类别:莱耀生物标准品,北京莱耀生物提供
  注:产品名称以英文名称为准


2011-2018 信阳莱耀生物科技有限公司 @ 信阳埃尔文生物科技有限公司版权所有

中检所标准品,对照品,标准气体
Keywords: 中检所标准品 对照品 标准气体