欢迎光临:莱耀标准品网!
 您的位置:对照品 > 标准品 > TRC >
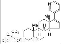
Abiraterone Isopropyl Ether-d7
产品基本信息
产品编号:A108532
产品名称:Abiraterone Isopropyl Ether-d7
产品CAS:
规格含量:2.5mg,25mg
产品价格:2700元,21000元
联系我们:
产品详细介绍

  阿比特龙异丙醚-d7标准品

  货号:A108532
  英文名称:Abiraterone Isopropyl Ether-d7
  别名:3-((3S,8R,9S,10R,13S,14S)-3-Isopropoxy-d7-10,13-dimethyl-2,3,4,7,8,9,10,11,12,13,14,15-dodecahydro-1H-cyclopenta[a]phenanthren-17-yl)pyridine)
  规格:2.5mg,25mg
  结构式:
阿比特龙异丙醚-d7标准品
  分子式:C27H30D7NO
  分子量:398.63
  产品类别:莱耀生物标准品,北京莱耀生物提供
  注:产品名称以英文名称为准


2011-2018 信阳莱耀生物科技有限公司 @ 信阳埃尔文生物科技有限公司版权所有

中检所标准品,对照品,标准气体
Keywords: 中检所标准品 对照品 标准气体