欢迎光临:莱耀标准品网!
 您的位置:对照品 > 标准品 > TRC >
延胡索酸泰妙菌素-14C标准品
产品基本信息
产品编号:T436601
产品名称:延胡索酸泰妙菌素-14C标准品
产品CAS:
规格含量:5mCi
产品价格:500000元
联系我们:
产品详细介绍

  延胡索酸泰妙菌素-14C标准品

  货号:T436601
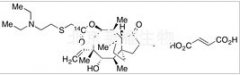
  英文名称:Tiamulin-14C Fumarate (activity: ~50 mCi/mmol)
  别名: (3aS,4R,5S,6S,8R,9S,9aR,10R)-2-[[2-(Diethylamino)ethyl]thio]acetic Acid 6-Ethenyldecahydro-5-hydroxy-4,6,9,10-tetramethyl-1-oxo-3a,9-propano-3aH-cyclopentacycloocten-8-yl Ester (2E)-2-Butenedioate-14C; SQ-22947-14C; Denagard-14C; Dynamutilin-14C; Tiamutin-14C; Tiavet-14C
  规格:250mg,2.5g
  结构式:
延胡索酸泰妙菌素-14C标准品
  分子式:C3114CH51NO8S
  分子量:611.81
  产品类别:莱耀生物标准品,莱耀生物提供
  注:产品信息以英文名称为准


2011-2018 信阳莱耀生物科技有限公司 @ 信阳埃尔文生物科技有限公司版权所有

中检所标准品,对照品,标准气体
Keywords: 中检所标准品 对照品 标准气体