您的位置:对照品 > 标准品 > TRC > |
|
|
|
| 产品基本信息 |
|
| 产品编号:I824865 |
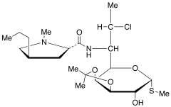
| 产品名称:3,4-O-Isopropylidene Clindamycin |
| 产品CAS:147650-54-2 |
| 规格含量:25mg |
| 产品价格:面议 |
| 联系我们: |
|
|
|
|
|
| 产品详细介绍 |
| 标准品编号: |
I824865 |
| 名称: |
3,4-O-Isopropylidene Clindamycin |
| 别名: |
(2S-trans)-Methyl 7-Chloro-6,7,8-trideoxy-3,4-O-(1-methylethylidene)-6-[[(1-methyl-4-propyl-2-pyrrolidinyl)carbonyl]amino]-1-thio-L-threo-α-D-galacto-octopyranoside |
| CAS号: |
147650-54-2 |
| 分子式: |
C₂₁H₃₇ClN₂O₅S |
| 外观: |
Yellow Solid |
| 熔点: |
69-73°C |
| 分子量: |
465.05 |
| 储存: |
-20°C Freezer |
| 溶解度: |
Chloroform, Dichloromethane, Dimethyl Sulfoxide, Methanol |
| 种类: |
Building Blocks; Pharmaceutical/API Drug Impurities/Metabolites; Carbohydrates and Oligosaccharides; |
| 应用: |
Clindamycin (C580000) derivative. Used in the preparation of Clindamycin impurities. |
| 参考文献 |
|
|
|
|
|
|
|
|