欢迎光临:莱耀标准品网!
 您的位置:对照品 > 标准品 > TRC >
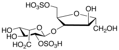
O-(α-L-Idopyranosyluronic Acid 2-Sulfate-(1-4)-2,5-anhydro-Mannitol-6-sulfate Tr
产品基本信息
产品编号:I225000
产品名称:O-(α-L-Idopyranosyluronic Acid 2-Sulfate-(1-4)-2,5-anhydro-Mannitol-6-sulfate Tr
产品CAS:
规格含量:5mg
产品价格:面议
联系我们:
产品详细介绍
标准品编号: I225000
名称: O-(α-L-Idopyranosyluronic Acid 2-Sulfate-(1-4)-2,5-anhydro-Mannitol-6-sulfate Triammonium Salt
参考CAS号: 69180-27-4 free acid
分子式: C₁₂H₂₉N₃O₁₇S₂
外观: 白色至白色固体
熔点: 186-191°C (dec.)
分子量: 551.5
储存: -20°C Freezer, Under Inert Atmosphere
溶解度: Water
种类: Standards; Carbohydrates and Oligosaccharides;
应用: A substrate for Hunters syndrome.
参考文献


2011-2018 信阳莱耀生物科技有限公司 @ 信阳埃尔文生物科技有限公司版权所有

中检所标准品,对照品,标准气体
Keywords: 中检所标准品 对照品 标准气体