欢迎光临:莱耀标准品网!
 您的位置:对照品 > 标准品 > TRC >
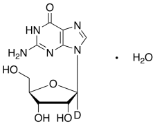
Guanosine-1'-d Monohydrate
产品基本信息
产品编号:G837914
产品名称:Guanosine-1'-d Monohydrate
产品CAS:
规格含量:10mg
产品价格:面议
联系我们:
产品详细介绍
标准品编号: G837914
名称: Guanosine-1'-d Monohydrate
别名: 2-Amino-1,9-dihydro-9-β-D-ribofuranosyl-6H-purin-6-one-1'-d; DL-Guanosine-1'-d; Guanine Ribonucleoside-1'-d; 9-β-D-Ribofuranosylguanine-1'-d; 2-Aminoinosine-1'-d; NSC 19994-1'-d; Vernine-1'-d;
参考CAS号: Unlabelled: 118-00-3
分子式: C₁₀H₁₄DN₅O₆
分子量: 302.26
种类: Building Blocks; Isotopic Labeled Analogues;
应用: Isotope labelled analogue of Guanosine (G837900), a constituent of nucleic acids.
参考文献


2011-2018 信阳莱耀生物科技有限公司 @ 信阳埃尔文生物科技有限公司版权所有

中检所标准品,对照品,标准气体
Keywords: 中检所标准品 对照品 标准气体