欢迎光临:莱耀标准品网!
 您的位置:对照品 > 标准品 > TRC >
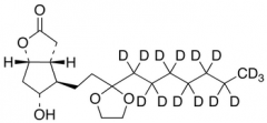
(3aR,4R,5R,6aS)-4-[3-(Ethyleneketal)decanyl]hexahydro-5-hydroxy-2H-cyclopenta[b]furan-2-on
产品基本信息
产品编号:E917787
产品名称:(3aR,4R,5R,6aS)-4-[3-(Ethyleneketal)decanyl]hexahydro-5-hydroxy-2H-cyclopenta[b]furan-2-on
产品CAS:1217783-38-4
规格含量:100mg
产品价格:面议
联系我们:
产品详细介绍
标准品编号: E917787
名称: (3aR,4R,5R,6aS)-4-[3-(Ethyleneketal)decanyl]hexahydro-5-hydroxy-2H-cyclopenta[b]furan-2-one-d15
别名: [3aR-(3aα,4α,5β,6aα)]-4-[2-(2-Heptyl-1,3-dioxolan-2-yl)ethyl]hexahydro-5-hydroxy-2H-cyclopenta[b]furan-2-one-d15
CAS号: 1217783-38-4
参考CAS: 类似: 118696-65-4
分子式: C₁₉H₁₇D₁₅O₅
外观: 白色固体
分子量: 355.55
溶解度: Dichloromethane, Ethyl Acetate, Methanol
种类: Standards; Chiral Molecules; Isotopic Labeled Analogues; Pharmaceutical/API Drug Impurities/Metabolites;
应用: Intermediate in the preparation of labelled prostaglandin derivatives
参考文献


2011-2018 信阳莱耀生物科技有限公司 @ 信阳埃尔文生物科技有限公司版权所有

中检所标准品,对照品,标准气体
Keywords: 中检所标准品 对照品 标准气体