欢迎光临:莱耀标准品网!
 您的位置:对照品 > 标准品 > TRC >
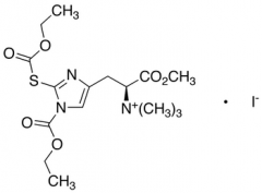
N(Im)-Ethoxycarbonyl-S-ethoxycarbonyl L-Ergothioneine Methyl Ester Iodide
产品基本信息
产品编号:E890475
产品名称:N(Im)-Ethoxycarbonyl-S-ethoxycarbonyl L-Ergothioneine Methyl Ester Iodide
产品CAS:162240-57-5
规格含量:25 mg
产品价格:面议
联系我们:
产品详细介绍
标准品编号: E890475
名称: N(Im)-Ethoxycarbonyl-S-ethoxycarbonyl L-Ergothioneine Methyl Ester Iodide
别名: (S)-1-(Ethoxycarbonyl)-2-[(ethoxycarbonyl)thio]-α-(methoxycarbonyl)-N,N,N-trimethyl-1H-imidazole-4-ethanaminium Iodide;
CAS号: 162240-57-5
分子式: C₁₆H₂₆IN₃O₆S
分子量: 515.36
种类: Standards; Amino Acids; Pharmaceutical/API Drug Impurities/Metabolites;
应用: Intermediate in the production of L-Ergothioneine
参考文献


2011-2018 信阳莱耀生物科技有限公司 @ 信阳埃尔文生物科技有限公司版权所有

中检所标准品,对照品,标准气体
Keywords: 中检所标准品 对照品 标准气体