欢迎光临:莱耀标准品网!
 您的位置:对照品 > 标准品 > TRC >
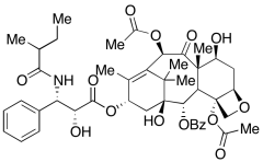
Dihydrocephalomannin​e
产品基本信息
产品编号:D448770
产品名称:Dihydrocephalomannin​e
产品CAS:159001-25-9
规格含量:50mg
产品价格:面议
联系我们:
产品详细介绍
标准品编号: D448770
名称: Dihydrocephalomannin​e
别名: N-Debenzoyl-N-α-methylbutyrylpaclitaxel; 7,11-Methano-1H-cyclodeca[3,4]benz[1,2-b]oxete Benzenepropanoic Acid Derivative; [2aR-2aα,4β,4aβ,6β,9α(αR*,βS*),11α,12α,12aα,12bα]]-α-Hydroxy-β-[(2-methyl-1-oxobutyl)amino]-,6,12b-bis(acetyloxy)-12-(benzoyloxy)-2a,3,4,4a,5,6,9,10,11,12,12a,12b-dodecahydro-4,11-dihydroxy-4a,8,13,13-tetramethyl-5-oxo-7,11-methano-1H-cyclodeca[3,4]​benz[1,2-b]oxet-9-yl Ester Benzenepropanoic Acid; (2aR,4S,4aS,6R,9S,11S,12S,12bS)-12-(Benzoyloxy)-4,11-dihydroxy-9-(((2R,3S)-2-hydroxy-3-(2-methylbutanamido)-3-phenylpropanoyl)oxy)-4a,8,13,13-tetramethyl-5-oxo-2a,3,4,4a,5,6,9,10,11,12,12a,12b-dodecahydro-1H-7,11-methanocyclodeca[3,4]benzo[1,2-b]oxete-6,12b-diyl Diacetate; Paclitaxel - Impurity R
杂质: Paclitaxel - Impurity R
CAS号: 159001-25-9
分子式: C₄₅H₅₅NO₁₄
分子量: 833.92
种类: Standards; Pharmaceutical/API Drug Impurities/Metabolites;
应用: Dihydrocephalomannine has been shown to reduce cytotoxicity and tubulin binding compared to Paclitaxel (P132500). Paclitaxel - Impurity R.
参考文献


2011-2018 信阳莱耀生物科技有限公司 @ 信阳埃尔文生物科技有限公司版权所有

中检所标准品,对照品,标准气体
Keywords: 中检所标准品 对照品 标准气体