您的位置:对照品 > 标准品 > TRC > |
|
|
|
| 产品基本信息 |
|
| 产品编号:D226940 |
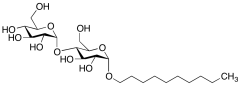
| 产品名称:Decyl b-D-maltopyranoside |
| 产品CAS:82494-09-5 |
| 规格含量:500mg |
| 产品价格:面议 |
| 联系我们: |
|
|
|
|
|
| 产品详细介绍 |
| 标准品编号: |
D226940 |
| 名称: |
Decyl b-D-maltopyranoside |
| 别名: |
Decyl 4-O-α-D-glucopyranosyl-β-D-glucopyranoside; 1-Decyl β-D-maltoside; 1-O-Decyl-β-D-maltoside; Decyl β-D-maltoside; Decyl β-Maltopyranoside; Decyl-β-maltoside; Decylmaltoside; n-Decyl β-D-maltoside; n-Decyl-β-D-maltopyranoside; |
| CAS号: |
82494-09-5 |
| 分子式: |
C₂₂H₄₂O₁₁ |
| 外观: |
白色至白色固体 |
| 熔点: |
>95°C (dec.) |
| 分子量: |
482.56 |
| 储存: |
-20°C Freezer |
| 溶解性: |
Methanol (Slightly), Water (Slightly) |
| 种类: |
Building Blocks; Carbohydrates; |
| 应用: |
Decyl b-D-maltopyranoside |
| 参考文献 |
|
|
|
|
|
|