您的位置:对照品 > 标准品 > o2si > |
|
|
|
| 产品基本信息 |
|
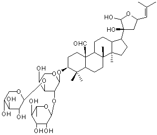
| 产品编号:C46H74O17 |
| 产品名称:绞股蓝皂苷A(19-氧-21,23-环氧-3β,20(S),21(R)-三羟基达玛-24-烯-3-O-{[α-吡喃 |
| 产品CAS:157752-01-7 |
| 规格含量:20mg |
| 产品价格:1200 |
| 联系我们: |
|
|
|
|
|
| 产品详细介绍 |
|
中文名称 |
绞股蓝皂苷A对照品 |
中文别名 |
19-氧-21, 23-环氧-3β,20(S),21(R)-三羟基达玛-24-烯-3-O-{[α-吡喃鼠李糖基(1-2)][β-吡喃木糖基(1-3)]-α-L-吡喃阿拉伯糖苷 |
|
英文名 |
gypenoside A |
英文别名 |
19-oxo-21,23-epoxy-3β,20(S),21-trihydroxydammar-24-烯-3-O-{[α-L-rhamnopyranosyl(1-2)][β-D-xylopyranosyl(1-3)]-α-L-arabinopyranoside |
|
分子式 |
|
C46H74O17 |
分子量 |
899.07 |
CAS登录号 |
157752-01-7 |
|
|
提取来源 |
|
|
外观 |
|
白色粉末 |
 |
|
MS,NMR |
|
4℃冷藏、密封、避光 |
|
2年 |
|
无 |
|
|
鉴别方法 |
|
贮存条件 |
|
有效期 |
|
注意事项 |
|
溶解性 |
溶于乙腈水、DMSO。溶于甲醇或乙醇可能生成甲缩醛或乙缩醛 |
|
测定方法 |
补充中 |
|
药典测定方法 |
补充中 |
|
用途 |
用于含量测定/鉴定/药理实验等 |
|
|
|
|
|