您的位置:对照品 > 标准品 > o2si > |
|
|
|
| 产品基本信息 |
|
| 产品编号:C53H90O22 |
| 产品名称:人参皂苷Rb3对照品 |
| 产品CAS:68406-26-8 |
| 规格含量:20mg |
| 产品价格:560 |
| 联系我们: |
|
|
|
|
|
| 产品详细介绍 |
|
中文名称 |
人参皂苷Rb3对照品 |
中文别名 |
补充中 |
|
英文名 |
Ginsenoside Rb3 |
英文别名 |
补充中 |
|
分子式 |
|
C53H90O22 |
分子量 |
1079.26 |
CAS登录号 |
68406-26-8 |
|
|
提取来源 |
|
五加科植物人参Panax ginseng C.A.Mey.的根 |
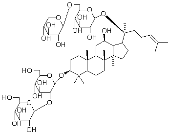
化学结构 |
|
|
外观 |
|
白色粉末 |
 |
|
NMR; MS |
|
4℃冷藏、密封、避光 |
|
2年 |
|
无 |
|
|
鉴别方法 |
|
贮存条件 |
|
有效期 |
|
注意事项 |
|
溶解性 |
补充中 |
|
测定方法 |
HPLC法,以十八烷基硅烷键合硅胶为填料,乙腈-水梯度洗脱, 0~19 min( 30: 70→35: 65) , 19~21 min( 35: 65→50: 50) ; 21~26 min( 50: 50) , 流速:1. 0 mL. min-1 , 检测波长: 203 nm, 柱温: 30℃, 进样量: 10μL。 |
|
药典测定方法 |
HPLC法,以十八烷基硅烷键合硅胶为填料,乙腈和0.2%磷酸进行梯度洗脱,检测波长: 203 nm。 |
|
用途 |
用于含量测定/鉴定/药理实验等 |
|
|
|
|
|