|
中文名称 |
14α-羟基Sprengerinin C对照品 |
中文别名 |
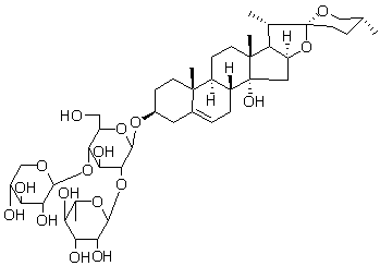
25R-△5(6)-烯-螺甾-3β, 14α-二羟基-3-O-α-L-吡喃鼠李糖基-(1→2)-β-D-吡喃木糖基(1→4)]-β-D-吡喃葡萄糖苷 |
|
英文名 |
14α-hydroxy Sprengerinin C |
英文别名 |
14α-hydroxyldiosgenin-3-O-α-L-rhamnosyl-(1→2)-β-D-xylosyl(1→4)]-β-D-glucoside |
|
分子式 |
|
C44H70O17 |
分子量 |
870.02 |
CAS登录号 |
1111088-89-1 |
|
|
提取来源 |
|
百合科植物麦冬 Ophiopogon japonicus (Thunb.) Ker-Gawl.的干燥块根。 |
化学结构 |
|
|
外观 |
|
白色粉末 |
 |
|
NMR,MS |
|
4℃冷藏、密封、避光 |
|
2年 |
|
无 |
|
|
鉴别方法 |
|
贮存条件 |
|
有效期 |
|
注意事项 |
|
溶解性 |
溶于甲醇 |
|
测定方法 |
补充中 |
|
药典测定方法 |
补充中 |
|
用途 |
用于含量测定/鉴定/药理实验等 |