您的位置:对照品 > 标准品 > o2si > |
|
|
|
| 产品基本信息 |
|
| 产品编号:C48H78O19 |
| 产品名称:断血流皂苷A(断血流皂甙A)对照品 |
| 产品CAS:916347-31-4 |
| 规格含量:20mg |
| 产品价格:480 |
| 联系我们: |
|
|
|
|
|
| 产品详细介绍 |
|
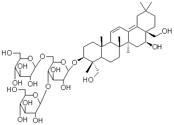
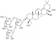
中文名称 |
断血流皂苷A对照品 |
中文别名 |
断血流皂甙A |
|
英文名 |
Clinodiside A |
英文别名 |
Buddlejasaponin Ⅳb |
|
分子式 |
|
C48H78O19 |
分子量 |
959.12 |
CAS登录号 |
916347-31-4 |
|
|
提取来源 |
|
唇形科风轮菜属植物风轮菜 Clinopod ium chinense ( Benth) O. Kuntze |
化学结构 |
|
|
外观 |
|
白色粉末 |
 |
|
NMR; MS |
|
4℃冷藏、密封、避光 |
|
2年 |
|
无 |
|
|
鉴别方法 |
|
贮存条件 |
|
有效期 |
|
注意事项 |
|
溶解性 |
可溶于水、热甲醇、DMSO,不溶于石油醚、氯仿等溶剂。 |
|
测定方法 |
色谱柱 Diamonsil C18柱, 流动相为甲醇-水 ( 75:25) ,检测波长 250 nm |
|
药典测定方法 |
补充中 |
|
用途 |
用于含量测定/鉴定/药理实验等 |
|
|
|
|
|