欢迎光临:莱耀标准品网!
 您的位置:对照品 > 标准品 > 农药标准品 >
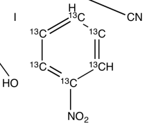
Nitroxinil-13C6
产品基本信息
产品编号:N597902
产品名称:Nitroxinil-13C6
产品CAS:1325559-31-6
规格含量:5mg
产品价格:面议
联系我们:
产品详细介绍
标准品编号: N597902
名称: Nitroxinil-13C6
别名: 4-Hydroxy-3-iodo-5-nitrobenzonitrile-13C6; 2-Iodo-4-cyano-6-nitrophenol-13C6; 3-Iodo-5-nitro-4-hydroxybenzonitrile-13C6; 3-Nitro-4-hydroxy-5-iodobenzonitrile-13C6; 3-Nitro-5-iodo-4-hydroxybenzonitrile-13C6; 4-Cyano-2-iodo-6-nitrophenol-13C6; M and B 10755-13C6; Nitroxynil-13C6;
CAS号: 1325559-31-6
参考CAS号: 1689-89-0
分子式: C¹³C₆H₃IN₂O₃
分子量: 295.97
种类: Standards; Isotopic Labeled Analogues;
应用: Nitroxinil-13C6 is the labeled form of Nitroxynil (N597900), which is an anthelmintic used in the treatment of liver fluke. Nitroxynil is used for the treatment of fascioliasis in cattle and sheep.
参考文献


2011-2018 信阳莱耀生物科技有限公司 @ 信阳埃尔文生物科技有限公司版权所有

中检所标准品,对照品,标准气体
Keywords: 中检所标准品 对照品 标准气体