欢迎光临:莱耀标准品网!
 您的位置:对照品 > 标准品 > 农药标准品 >
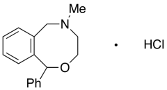
Nefopam Hydrochloride
产品基本信息
产品编号:N389400
产品名称:Nefopam Hydrochloride
产品CAS:23327-57-3
规格含量:50mg
产品价格:面议
联系我们:
产品详细介绍
标准品编号: N389400
名称: Nefopam Hydrochloride
别名: 3,4,5,6-Tetrahydro-5-methyl-1-phenyl-1H-2,5-benzoxazocine Hydrochloride; (+/-)-Nefopam Hydrochloride; Acupan; Ajan; Fenazoxine; Fenazoxine hydrochloride; R 738;
CAS号: 23327-57-3
参考CAS号: 13669-70-0-free base
分子式: C₁₇H₂₀ClNO
外观: 白色至白色固体
熔点: 245-250°C (dec.)
分子量: 289.8
储存: 冰箱
溶解度: Methanol
种类: Standards; Pharmaceutical/API Drug Impurities/Metabolites;
应用: A cyclized analog of orphenadrine and diphenhydramine; representative of a new class of centrally acting skeletal muscle relaxants, the benzoxazocines. Analgesic; antidepressant.
危险品: Not a dangerous good if item is equal to or less than 1g/ml and there is less than 100g/ml in the package
参考文献


2011-2018 信阳莱耀生物科技有限公司 @ 信阳埃尔文生物科技有限公司版权所有

中检所标准品,对照品,标准气体
Keywords: 中检所标准品 对照品 标准气体