欢迎光临:莱耀标准品网!
 您的位置:对照品 > 标准品 > 农药标准品 >
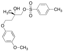
4-(4-Methoxyphenoxy)-2-methyl-1-(4-methylbenzenesulfonate) 1,2-Butanediol
产品基本信息
产品编号:M329765
产品名称:4-(4-Methoxyphenoxy)-2-methyl-1-(4-methylbenzenesulfonate) 1,2-Butanediol
产品CAS:303765-54-0
规格含量:50mg
产品价格:面议
联系我们:
产品详细介绍
标准品编号: M329765
名称: 4-(4-Methoxyphenoxy)-2-methyl-1-(4-methylbenzenesulfonate) 1,2-Butanediol
CAS号: 303765-54-0
分子式: C₁₉H₂₄O₆S
外观: Beige Syrup
分子量: 380.46
溶解度: Chloroform, Methanol
种类: Standards; Pharmaceutical/API Drug Impurities/Metabolites;
应用: 4-(4-Methoxyphenoxy)-2-methyl-1-(4-methylbenzenesulfonate) 1,2-Butanediol is an intermediate in the synthesis of L-Mevalonic Acid Lithium Salt (>90%) which is a L-Isomer of Mevalonic acid (M339020), a precursor in the biosynthesis of cholesterol (C432501)
参考文献


2011-2018 信阳莱耀生物科技有限公司 @ 信阳埃尔文生物科技有限公司版权所有

中检所标准品,对照品,标准气体
Keywords: 中检所标准品 对照品 标准气体