欢迎光临:莱耀标准品网!
 您的位置:对照品 > 标准品 > 农药标准品 >
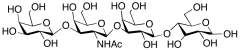
Lacto-N-tetraose
产品基本信息
产品编号:L300210
产品名称:Lacto-N-tetraose
产品CAS:14116-68-8
规格含量:2.5mg
产品价格:面议
联系我们:
产品详细介绍
标准品编号: L300210
名称: Lacto-N-tetraose
别名: R-lactotetraose-HSA; Beta-D-galacto-hexopyranosyl-(1->3)-2-acetamido-2-deoxy-beta-D-gluco-hexopyranosyl-(1->3)-beta-D-galacto-hexopyranosyl-(1->4)-D-gluco-hexopyranose ; BetaD-Galp(1→3)betaD-GlcpNAc(1→3)betaD-Galp(1→4)D-Glcp
CAS号: 14116-68-8
分子式: C₂₆H₄₅NO₂₁
分子量: 707.63
种类: Standards; Carbohydrates and Oligosaccharides;
应用: Lacto-N-tetraose (CAS# 14116-68-8) is a human milk oligosaccharide. It is minimally digested and absorbed in the small intestine however it cultivates bacteria in the colon.
参考文献


2011-2018 信阳莱耀生物科技有限公司 @ 信阳埃尔文生物科技有限公司版权所有

中检所标准品,对照品,标准气体
Keywords: 中检所标准品 对照品 标准气体