欢迎光临:莱耀标准品网!
 您的位置:对照品 > 标准品 > 农药标准品 >
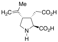
(-)-α-Kainic Acid
产品基本信息
产品编号:K135010
产品名称:(-)-α-Kainic Acid
产品CAS:487-79-6
规格含量:100mg
产品价格:面议
联系我们:
产品详细介绍
标准品编号: K135010
名称: (-)-α-Kainic Acid
别名: (2S,3S,4S)-2-Carboxy-4-(1-methylethenyl)-3-pyrrolidineacetic Acid; 2-Carboxy-4-isopropenyl-3-pyrrolidineacetic Acid; (-)-Kainic Acid; (2S,3S,4S)-2-Carboxy-4-isopropenylpyrrolidine-3-acetic Acid; Digenic Acid; Digenin; Helminal; Kainic Acid; L-α-Kainic Acid; α-Kainic Acid
CAS号: 487-79-6
分子式: C₁₀H₁₅NO₄
外观: 白色至白色固体
熔点: >208°C (dec.)
分子量: 213.23
储存: Hygroscopic, -20°C Freezer, Under inert atmosphere
溶解度: Aqueous Base (Slightly), Methanol (Slightly), Water (Slightly)
种类: Standards; Chiral Molecules; Enzyme Activators and Inhibitors; Neurochemicals; Pharmaceutical/API Drug Impurities/Metabolites;
应用: (-)-α-Kainic Acid is a naturally occurring neuroexcitatory chemical that is an selective agonist for a subtype of ionotropic glutamate receptor. Administration of (-)-α-Kainic Acid has been shown to increase production of reactive oxygen species, mitochondrial dysfunction, and apoptosis in neurons in many regions of the brain, particularly in the hippocampal subregions and in the hilus of dentate gyrus.
参考文献


2011-2018 信阳莱耀生物科技有限公司 @ 信阳埃尔文生物科技有限公司版权所有

中检所标准品,对照品,标准气体
Keywords: 中检所标准品 对照品 标准气体