欢迎光临:莱耀标准品网!
 您的位置:对照品 > 标准品 > 农药标准品 >
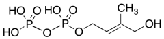
1-Hydroxy-2-methyl-2-buten-4-yl 4-Diphosphate
产品基本信息
产品编号:H972405
产品名称:1-Hydroxy-2-methyl-2-buten-4-yl 4-Diphosphate
产品CAS:396726-03-7
规格含量:10mg
产品价格:面议
联系我们:
产品详细介绍
标准品编号: H972405
名称: 1-Hydroxy-2-methyl-2-buten-4-yl 4-Diphosphate
别名: 1-Hydroxy-2-methyl-2-(E)-butenyl 4-diphosphate; HMBDP; (E)-4-Hydroxy-3-methyl-but-2-enyl-diphosphate; Mono[(2E)-4-hydroxy-3-methyl-2-butenyl] Diphosphoric Acid Ester; HDMAPP;
CAS号: 396726-03-7
分子式: C₅H₁₂O₈P₂
分子量: 262.09
种类: Standards; Pharmaceutical/API Drug Impurities/Metabolites;
应用: 1-Hydroxy-2-methyl-2-buten-4-yl 4-Diphosphate is an isoprenoid precursor produced by Plasmodium falciparum that affects A. gambiae s.l. blood meal seeking and feeding behaviours as well as susceptibility to infection.
参考文献


2011-2018 信阳莱耀生物科技有限公司 @ 信阳埃尔文生物科技有限公司版权所有

中检所标准品,对照品,标准气体
Keywords: 中检所标准品 对照品 标准气体